• Circa 56 miljoen jaar geleden, tijdens het zogeheten PETM, kwam er, net als in onze huidige tijd, een grote hoeveelheid CO2 in de atmosfeer terecht met als gevolg een relatief snelle opwarming van de aarde.
• Door de gestegen CO2 concentratie ten tijde van het PETM werden de oceanen ongeveer twee keer zo zuur (een daling van de pH met 0.3 eenheden). Tegenwoordig gaat de verzuring van de oceanen tien keer zo snel als toen.
Het PETM staat voor het Paleocene-Eocene Thermal Maximum, een relatief snelle klimaatverandering die zo’n 56 miljoen jaar geleden plaats heeft gevonden. Deze gebeurtenis markeert de scheiding tussen twee geologische tijdperken, het Paleoceen en het Eoceen en is, naast het historische en wetenschappelijke aspect, interessant vanwege enkele grote overeenkomsten met het huidige tijdperk. Net als in onze ‘moderne’ tijd nam tijdens het PETM in een relatief korte tijdspanne de hoeveelheid CO2 in de atmosfeer sterk toe en dat veroorzaakte uiteraard een temperatuurstijging, samen met een verzuring van de oceanen. Een nieuwe publicatie van Penman et al laat op basis van metingen zien wat de grootte van de daling van de pH – een toename van de zuurgraad – was in de oceanen tijdens het PETM (zie het persbericht en een pdf van de publicatie).
In figuur 1 is een temperatuurreconstructie (van Zachos en Hansen) van de afgelopen 65 miljoen jaar weergegeven waarin het PETM als een piekje zichtbaar is.
De gemiddelde temperatuur op aarde stijgt niet plotseling vanzelf, daar is een verandering in de energiebalans van de aarde voor nodig. De hoofdverdachte is in dit geval (en vele andere) een verandering in de concentraties aan broeikasgassen, zoals CO2 en CH4, in de atmosfeer. Voor de ‘temperatuursprong’ tijdens het PETM is dat niet anders en in een publicatie van Zachos et al uit 2001 is dat inderdaad aangetoond.
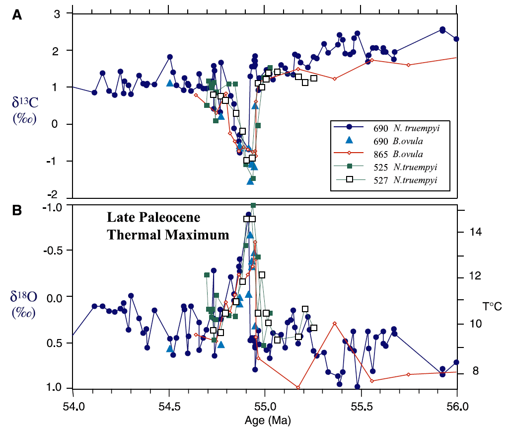
Waardoor al dat koolstof is vrijgekomen, is nog onbekend, een van de mogelijke factoren is het vrijkomen van methaan door het uiteenvallen van methaanhydraten. Figuur 2 laat het vrijkomen van koolstof (grafiek A) en een proxy voor de verandering van de temperatuur (grafiek B) zien, beide bepaald uit kalkskeletten van zeediertjes. Grafiek A geeft de verandering in de verhouding van de koolstofisotopen 13C en 12C (δ13C) weer tijdens het PETM. Een afname van deze verhouding duidt op het vrijkomen van koolstofverbindingen (CO2, CH4) met veel 12C, van plantaardige oorsprong, iets dat we ook in onze huidige tijd in de atmosfeer zien gebeuren. In zijn befaamde video The Biggest Control Knob (rond 28:40) was Richard Alley erg duidelijk bij zijn uitleg van deze grafiek van Zachos e.a.:
“The CO2 went up and it got warm”.
In Penman 2014 schrijft men dat de hoeveelheid CO2 die tijdens het PETM is vrijgekomen overeenkomt met 3000 – 9000 Gigaton koolstof. Ter vergelijking, de mens heeft over de periode 1870 – 2011 zo’n 515 Gigaton koolstof geëmitteerd en inmiddels produceren we circa 10 Gigaton aan koolstof per jaar in de vorm van CO2. Daarom wordt het PETM wel eens gepresenteerd als een potentiele analogie van waar het aardse klimaat op afstevent als de emissies niet beteugeld worden. Niet alleen de temperatuur van de aarde steeg tijdens het PETM, Penman-2014 spreekt van 4 tot 8 °C, maar tevens nam de hoeveelheid Calciumcarbonaat op de zeebodem af en daalde de pH van de oceanen. Daarmee samenhangend daalde de concentratie van carbonaationen in de oceanen, wat negatief uitpakte voor het zeeleven dat een kalkskelet heeft. Tijdens het PETM stierf bijv. 30 tot 50 % van de bentische foraminifera uit.
Meer info over de oceaanverzuring en de chemie daarvan is te vinden in de blogs: “Een warme en zure toekomst?” en “Oceanië – een zee van verandering”.
Figuur 3 bevat een weergave van diverse meetresultaten, zoals aanwezig in Penman 2014, aan restanten van enkele soorten kalkdiertjes in sedimentlagen die zijn opgebouwd ten tijde van het PETM. Het bovenste gedeelte geeft de verhouding weer van de Boorisotopen 11B en 10B (δ11B) in de kalkskeletten wat een maatstaf is voor de pH. Een lagere δ11B komt overeen met een lagere pH. Het middengedeelte, de Magnesium/Calcium verhouding, is een maatstaf voor de temperatuur, volgens het artikel komt de ‘sprong’ bij 0 overeen met een stijging van de oppervlaktetemperatuur van het zeewater met circa 5 °C. Het onderste gedeelte van figuur 3 is een weergave van de koolstofisotopenverhouding 13C en 12C (δ13C), vergelijkbaar met figuur 2 A.
In figuur 4 is het verloop van de pH van de oceanen tijdens het PETM weergegeven, voor twee verschillende schattingen van de initiële pH.
Uit figuur 4 is af te lezen dat de pH van de oceanen zich uiteindelijk weer herstelde, in Penman 2014 spreekt men van tenminste 70 duizend jaar. Volgens de auteurs betekent deze lange tijdsduur dat het snelle vrijkomen van een grote hoeveelheid CO2 gevolgd moet zijn door het langzaam vrijkomen van meer CO2, wellicht als gevolg van terugkoppelingen (zie ook Zeebe et al 2009). Daarnaast laat figuur 4 zien dat de zuurgraad van de oceanen bij de start van het PETM met ongeveer 0.3 eenheden (oftewel, de zuurconcentratie is twee keer zo hoog geworden; de pH schaal is logaritmisch) is afgenomen in circa 3 tot 5 duizend jaar (zie deze video van Hönisch rond 49:00). Dat betekent een daling van de pH met een snelheid van circa 0.01 eenheden per eeuw.
Bij ongewijzigd beleid zal de mensheid in 2100 ook een daling van de pH in de oceanen met circa 0.3 eenheden bewerkstelligen. De mens verslaat hierin de natuur tijdens het PETM met gemak: wij kunnen het in een paar eeuwen, ongeveer een factor 10 sneller dan 56 miljoen jaar geleden. Richard Zeebe, professor bij de Universiteit van Hawaii, zegt daar in het persbericht het volgende over:
“If we continue on the emissions path we are on right now, acidification of the surface ocean will be way more dramatic than during the PETM.”.
‘Iets’ zegt mij dat het verstandig zou zijn als we dat proberen te voorkomen.
Voor de liefhebbers hieronder een link naar een uitstekende en begrijpelijke lezing op 30 maart 2014 van Bärbel Hönisch, co-auteur van het Penman et al artikel en hoofdauteur van het artikel wat we in “Een warme en zure toekomst?” hebben besproken. De lezing is een aanrader en bevat veel fraai beeldmateriaal:
http://www.ldeo.columbia.edu/video/ocean-acidification-and-climate-change






Jos,
dank voor de info! Dat was tevens aanleiding om ook de ‘related’ blogstukken door te nemen. Ik begrijp dat de oceanen een cruciale actor zijn in de energiebalans EN in de CO2 huishouding. Wat me niet duidelijk is of (en zo ja: in hoeverre) die twee functies van de oceanen ‘synchroon’ worden begrepen of als ‘uit fase’. Anders geformuleerd: hoe snel/langzaam zijn de oceanen met CO2 opname/uitstoot en hoe snel/langzaam zijn ze met temperatuur-opname/afgifte?
Ik besef dat dit een typische leken-vraag is van iemand die door de vele bomen het oceanische bos niet ziet. Help!
LikeLike
Hoi Goff,
Een lastige vraag en ik weet niet of ik daar een goed antwoord op heb, ik doe toch een poging.
De CO2 opname/uitstoot van de oceanen is een proces dat continu plaats vindt, zie deze massabalans van IPCC AR5:

Alle extra CO2 die de mensheid in de atmosfeer brengt, zorgt ervoor dat de oceanen meer CO2 opnemen dan uitstoten. Het e.e.a. wordt gedreven doordat de CO2 concentratie in de oceanen in evenwicht dient te geraken met de atmosfeer: als de concentratie in de atmosfeer toeneemt zullen de oceanen CO2 opnemen. Dit gaat behoorlijk snel, het IPCC spreekt over enkele eeuwen (zie box 6.1, link hieronder). In de oceanen is erg veel Calciumcarbonaat aanwezig, bijv. in de vorm van kalkskeletten van dood zeeleven (denk aan de witte rotsen van Dover). Als CO2 oplost in de oceanen verschuiven er diverse chemische evenwichten. Deze verschuiving zorgt ervoor dat de pH daalt evenals de Carbonaat-ion concentratie. Het is deze daling van de Carbonaat-ion concentratie die er voor zorgt dat Calciumcarbonaat verbindingen oplossen (helaas niet alleen kalkskeletten van dood zeeleven), waardoor de diverse evenwichten weer verschuiven en de Carbonaat-ion concentratie en de pH zich weer herstellen. Dit proces is vrij langzaam en vindt plaats over een tijdschaal van duizenden jaren.
Zie box 6.1 van het IPCC AR rapport:
http://www.climatechange2013.org/images/report/WG1AR5_Chapter06_FINAL.pdf
Het is de ‘neutralisatie’ door de Calciumcarbonaat reacties die ervoor zorgt dat uiteindelijk bij een hoog CO2 gehalte in de atmosfeer de pH van de oceanen toch vergelijkbaar kan zijn met het pre-industriële tijdperk (circa 8.1-8.2). Op sommige ‘sceptische’ blogs kun je dat argument namelijk wel eens tegenkomen: in tijdperk X was de CO2 concentratie hoog en waren de oceanen niet verzuurd, dus de theorie klopt niet.
De energieopname van de oceanen is erg groot en is over de laatste 30 jaar (over 0-2000 meter) diepte ongeveer 7×1021 Joule per jaar (NOAA data: http://www.nodc.noaa.gov/OC5/3M_HEAT_CONTENT/index.html). Circa 90% van de extra energie als gevolg van het versterkte broeikaseffect verdwijnt nu in de oceanen. Als de broeikasgasemissies zouden stoppen, duurt het iets van 100 jaar of meer voordat de oceanen qua temperatuur in evenwicht zijn geraakt met de rest van het systeem, dit door de grote warmtecapaciteit van water. Zie bijv. de figuur 4.8 in: http://stratus.astr.ucl.ac.be/textbook/chapter4_node5.xml.
Hopelijk vergis ik me hier niet in de tijdschalen.
Er is een relatie tussen het warmer worden van de oceanen en de CO2 opname. Naarmate de temperatuur van het water stijgt, zullen de oceanen minder CO2 kunnen opnemen. De oplosbaarheid van CO2 in water neemt af naarmate de temperatuur stijgt.
LikeLike
In aanvulling op Jos en ter illustratie van de complexiteit van de materie: een onlangs verschenen onderzoek heeft aanwijzingen gevonden dat de temperatuur invloed heeft op de mate waarin diatomeeën (een soort plankton) CO2 uit het zeewater vastleggen. Dat heeft op zijn beurt invloed op de CO2-opname door de oceanen en dus op de concentratie in de atmosfeer en dus op de temperatuur.
En zo zijn er tal van processen die op één of andere manier de opname van CO2 of warmte door de atmosfeer beïnvloeden, elk met hun eigen dynamiek en tempo. Dat maakt het eenduidig beantwoorden van je vraag zo lastig, Goff.
LikeLike
Over de tijdschaal van de temperatuurrespons staat in IPCC AR5 o.a.: “Owing to the long time scales in the deep ocean, full equilibrium is reached only after hundreds to thousands of years.” De snelheid vd respons neemt af in de tijd.
LikeLike
Jos, je uitgebreide antwoord met de aanvullingen van Hans & Bart helpt meer dan ik verwachtte. Bij Neptunis! wat een ontzag-wekkende complexiteit. Reden te meer om het lofliedje op de klimaatwetenschappers (zie de blog ‘Via meten tot weten’) nog maar eens te neurieën. Ik weet dat ertegen geprotesteerd wordt maar ik blijf erbij: het uitzonderlijke van de klimaatwetenschap is dat ze als geen andere discipline de onhoudbaarheid duidelijk maakt van de traditionele scheiding / grens tussen cultuur en natuur.
LikeLike
De lezing die de Australische koraalwetenschapper Charlie Veron in 2009 gaf voor de Royal Society mag hier niet ontbreken. Duurt een vol uur maar is zeer het bekijken waard:
https://royalsociety.org/events/2009/barrier-reef/
LikeLike
Bedankt ontspan,
Die lezing is inderdaad een zeer waardevolle aanvulling!
Charlie Veron is ook uitgebreid te zien in de aflevering van klimaatjagers over Oceanië:
http://www.wetenschap24.nl/programmas/Klimaatjagers/afleveringen/Oceanie.html
LikeLike