Gastblog van Jos Hagelaars
De klimaatgevoeligheid blijft de gemoederen bezig houden, je zou met een knipoog kunnen zeggen dat het onderwerp ‘gevoelig’ ligt. In het IPCC 2007 rapport stond dat de temperatuur op aarde uiteindelijk met 3 °C zou stijgen per verdubbeling van de CO2 concentratie, met als ‘likely’ (>66% kans) grenzen 2 – 4.5 °C, de equilibrium climate sensitivity oftewel de ECS. Deze 3 °C was gebaseerd op vele onderzoeken vanuit meerdere invalshoeken, zoals het instrumentele tijdperk, klimaatmodellen, de gemiddelde klimatologie of de paleoklimatologie.
In Nature Geoscience is op 19 mei van Dr. Alexander Otto van de University of Oxford en anderen een artikel (verder afgekort als Otto-2013) verschenen met schattingen voor de klimaatgevoeligheid op basis van het energiebudget over de afgelopen decennia. De auteurs, waaronder meerdere bekende namen uit de mainstream, maar bijvoorbeeld ook de sceptische Nic Lewis, concluderen:
• “The most likely value of equilibrium climate sensitivity based on the energy budget of the most recent decade is 2.0 °C, with a 5–95% confidence interval of 1.2–3.9 °C, compared with the 1970–2009 estimate of 1.9 °C (0.9–5.0 °C).”
• “The best estimate of TCR [transient climate response] based on observations of the most recent decade is 1.3 °C (0.9–2.0 °C). This is lower than estimates derived from data of the 1990s (1.6 °C (0.9–3.1 °C)) or for the 1970–2009 period as a whole (1.4 °C (0.7–2.5 °C)).”
Deze conclusies zijn in het artikel grafisch mooi en duidelijk gepresenteerd, zie figuur 1.

Figuur 1. De ECS (links) en de TCR (rechts) op basis van de 4 laatste decennia afzonderlijk (in kleur) en voor de gehele periode 1970-2009 (in grijs). De ellipsen geven het 66% interval aan. De dikke en dunne lijnen geven resp. het 17-83% en 5-95% waarschijnlijkheidsinterval aan. De witte cirkel geeft de meest waarschijnlijke waarde aan.
De rekenmethode, die gebruikt is in Otto-2013, is vergelijkbaar met die van Gregory et al 2002, dit artikel vermeldde destijds een ondergrens van 1.6 °C voor wat zij expliciet de ‘effective climate sensitivity’ noemden.
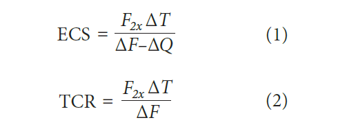
Deze rekenmethode is in principe vrij simpel. Men schat het verschil tussen de netto klimaatforcering en de warmteopname van de oceanen en vergelijkt dat met de geobserveerde opwarming. De gedachte erachter is de volgende: De klimaatgevoeligheid is de verwachte opwarming ten gevolge van een bepaalde klimaatforcering. De warmte opname in de oceanen is de belangrijkste vertragingsfactor, dus de opwarming op een bepaald moment is afhankelijk van de netto forcering, zijnde de klimaatforcering minus deze warmte opname. De vergelijkingen die Otto-2013 gebruikt om de ECS en TCR te berekenen, zijn weergegeven in figuur 2.

Figuur 2. De vergelijkingen voor het berekenen van de ECS en TCR, zoals gebruikt in Otto-2013. Hier staat F2x voor de forcering door 2xCO2, ∆T voor de temperatuurverandering, ∆F voor de huidige verandering in forcering en ∆Q voor het verschil in warmteopname van de oceanen. De gevoeligheid wordt via deze vergelijkingen gegeven in graden opwarming per W/m2 forcering.
Goed om te weten is dat Otto-2013 voor hun berekening niet de ‘radiative forcing’, maar de ‘adjusted forcing’ gebruikt hebben. Dit laatste concept zullen we vaker tegenkomen in de toekomst, volgens AR5 SOD is de ‘adjusted forcing’ (AF):
– “.. the change in net TOA irradiance after allowing for atmospheric temperatures, water vapour, clouds and land albedo to adjust, but with all or a portion of surface conditions unchanged.”
– “AF is used to characterize some of the more complex forcing agents that involve rapid adjustment of some components of the atmosphere that are assumed constant in the RF concept.”
Deze ‘adjusted forcing’ is iets lager dan de bekende 3.71 W/m2 ‘radiative forcing’ voor een verdubbeling van de CO2 concentratie, namelijk 3.44 W/m2 (zie Forster et al 2013). Gebruik van de ‘radiative forcing’ bij de berekeningen zou volgens Otto-2013 een toename van 0.1 °C voor TCR en ECS opleveren.
Samengevat dus een klimaatgevoeligheid voor de evenwichtsituatie van ~2 °C (1.2–3.9 °C) en een gevoeligheid voor de kortere termijn (TCR) van ~1.3 °C (0.9–2.0 °C), wat relevant is voor de momentane opwarming in vergelijking met de momentane klimaatforcering. Heel goed nieuws – uitgaande van het midden van deze kansverdelingen – en kunnen we nu gewoon door blijven stoken zoals we gewend zijn?
De TCR is door het IPCC als volgt gedefinieerd:
The transient climate response is the change in the global surface temperature, averaged over a 20-year period, centred at the time of atmospheric carbon dioxide doubling, that is, at year 70 in a 1% yr–1 compound carbon dioxide increase experiment with a global coupled climate model. It is a measure of the strength and rapidity of the surface temperature response to greenhouse gas forcing.
Het IPCC AR4 gaf voor de TCR een waarde van 2.1 °C (1.5 – 2.8 °C). De nieuwe schatting is beduidend lager en zou inhouden dat de temperatuurstijging voor de periode 2050-2070, wanneer de CO2-verdubbeling bij de huidige emissietrend bereikt zal worden, lager uit zal vallen. Of anders gezegd, dat een bepaalde opwarming pas iets later bereikt zal worden, als de broeikasgasemissies niet ingedamd worden.
In het gelekte IPCC AR5 SOD rapport was de TCR al naar beneden bijgesteld naar 1.8 °C (1.2 – 2.6 °C). De CMIP5 klimaatmodellen geven volgens Forster et al 2013 een TCR van 1.82 °C (± 0.63 (90%)). Isaac Held kwam op zijn blog in april 2012 op basis van eenzelfde methode als Otto-2013 met een argument dat het onwaarschijnlijk is dat de TCR hoger is dan 1.8 °C en een studie van Gillet et al 2012 gaf 1.3 – 1.8 °C voor de TCR.
Het lijkt er derhalve op dat er meerdere bewijzen zijn dat de TCR lager is dan het IPCC in 2007 aangaf en dat vind ik goed nieuws, zoals Chis Forest (Penn State University) het bij NewScientist zegt: “It might buy us five or ten years,”.
Een ECS van 2.0 °C zou eveneens goed nieuws zijn.
Echter deze waarde is gebaseerd op onderzoek uit één bewijscategorie, het instrumentele tijdperk. De 3 °C van het IPCC in 2007 was gebaseerd op meerdere bewijscategorieën, in 2008 samengevat door Knutti en Hegerl en gevangen in een begrijpelijk overzicht. Zie figuur 3.
Het Otto-2013 onderzoek hoort bij de categorie ‘Instrumental Period’, de rode grafiekjes in het overzicht van Knutti en Hegerl. Die tonen een enorme spreiding met als meest waarschijnlijke waarde een klimaatgevoeligheid van ~2.5 °C. Zoals gezegd, deze nieuwe studie komt op ~2.0 °C uit. De auteurs van Otto-2013 houden een behoorlijke slag om de arm, zij zeggen alleen het volgende:
The range derived from the 2000s overlaps with estimates from earlier decades and with the range of ECS values from current climate models (ECS values in the CMIP5 ensemble are 2.2–4.7 °C), although it is moved slightly towards lower values. Observations of the energy budget alone do not rule out an ECS value below 2 °C, but they do rule out an ECS below 1.2 °C with 95% confidence. The upper boundary is lowered slightly, but is also very sensitive to assumptions made in the evaluation process.
Daarnaast vraag ik me af in hoeverre deze berekende ECS de klimaatgevoeligheid voor de evenwichtssituatie benadert. Immers het klimaatsysteem is nog steeds niet in evenwicht, we hebben bijvoorbeeld nog altijd een energetische onbalans bij de Top-Of-the-Atmosphere en hoe zit het met de langzamere feedbacks, zoals de albedo verandering door het langzaam verdwijnen van het land- en zee-ijs? Gregory et al kwamen bij deze rekenmethode niet voor niets met de term ‘effective climate sensitivity’ aanzetten, in plaats van ECS. Gavin Schmidt zegt daarover op RealClimate het volgende:
“Is the effective sensitivity visible over the last 100 years the same as the equilibrium sensitivity? (No).”
Een duidelijke definitie-afbakening door de klimaatwetenschap zou m.i. geen kwaad kunnen.
Enkele andere bewijzen voor de ECS uit andere categorieën zijn recent eveneens gepubliceerd. De CMIP5 klimaatmodellen geven volgens Forster et al 2013 een ECS van 3.22 °C ± 1.32 °C (90%) en eind 2012 kwam het Palaeosens project (waaronder de Nederlander Appy Sluijs – UU) met een uitgebreide evaluatie van de klimaatgevoeligheid gebaseerd op diverse paleoklimatologische studies. Hun conclusie luidde:
“Over the past 65 million years, this reveals a climate sensitivity (in KW-1m2) of 0.3–1.9 or 0.6–1.3 at 95% or 68% probability, respectively. The latter implies a warming of 2.2–4.8K per doubling of atmospheric CO2, which agrees with IPCC estimates.”
Volgens Nic Lewis (co-auteur) zal het nieuwe artikel van Otto et al geciteerd worden in het IPCC AR5 WG1 rapport. Ik ben benieuwd of er in die definitieve versie van dat rapport een verschuiving plaats zal vinden aangaande de meest waarschijnlijke waarde van de klimaatgevoeligheid. Hoe lager hoe beter, maar aan wensdenken hebben we niets.
Mijn indruk is derhalve dat het te vroeg is om op grond van de Otto-2013 studie de ECS-vlag uit te hangen en om mijn eigen vraag te beantwoorden: door blijven stoken zoals we nu doen is nog steeds onverstandig. Een verdubbeling van de CO2 concentratie gaan we dan als mensheid met gemak bewerkstelligen, het IPCC RCP8.5 scenario komt in 2100 uit op circa 8.3 W/m2 (t.o.v. 1765). Dit komt overeen met meer dan twee keer een verdubbeling van de CO2 concentratie en dan komen we zelfs met een klimaatgevoeligheid van 2 °C in een andere wereld terecht.
De laatste woorden van deze post zijn voor hoofdauteur Dr. Alexander Otto, uit het BBC verhaal over dit artikel:
“We would expect a single decade to jump around a bit but the overall trend is independent of it, and people should be exactly as concerned as before about what climate change is doing,” said Dr Otto.
Is there any succour in these findings for climate sceptics who say the slowdown over the past 14 years means the global warming is not real?
“None. No comfort whatsoever,” he said.
.
Overige info betreffende Otto et al 2013:
– Persbericht Oxford University
– Blog van co-auteur Nic Lewis op Bishop Hill
– Blogs van James Annan, nr. 1 en nr. 2
– Myles Allen in The Guardian



Jos, voor jou is Otto-2013 misschien een eyeopener, maar die ECS van 3°C van IPCC is natuurlijk allang onhoudbaar gebleken. Zie mijn boek en de discussies eerder daarover op dit blog. Het aardige van Otto is dat, nu het hek van de dam is, er binnenkort studies gaan verschijnen die aantonen dat de ECS nóg lager is dan de 2 °C waar Otto nu mee komt. De projecties van IPCC kunnen dus op de schroothoop, temeer daar – zoals Kevin Trenberth onlangs nog concludeerde – IPCC geen rekening heeft gehouden met de natuurlijke dynamiek van de oceaan. Ik ga er dan ook van uit dat de huidige stagnatie van de oppervlaktetemperaturen nog zeker 15 jaar standhoudt. Pas daarna zal de mondiale temperatuur weer wat gaan stijgen, conform de lagere ECS/TCR-waarde.
LikeLike
Bert,
Deze blogpost gaat over het serieuze wetenschappelijke artikel van Otto et al. en niet over de speculatieve theorietjes van Bert Amesz. Discussies daar over in de open draad, s.v.p.
LikeLike
Bert, voor zover je het nog niet begrepen hebt, Otto-2013 gebruikt de toename van de OHC en de toename van de temperatuur van de atmosfeer in hun sommetjes.
Zoals Hans al zegt, voor je eeuwig terugkerende oceaanverzinsels kun je in de open discussie terecht en voor je herhaling van je wensvertaling van een uitspraak van Trenberth eveneens, zie hier en verder.
LikeLike
Begrijp ik het nou goed dat deze bijstelling voornamelijk gebaseerd is op de minder snel stijgende temperaturen van de laatste 15 jaar? Wat nu als de zonne-activiteit weer toeneemt en El Niño en ENSO-neutral weer een jaartje of tien domineren? Gaan ze het dan weer naar boven bijstellen?
Ik zou heel graag willen dat de vlag uit kan, maar zelfs een gevoeligheid van 1,5 °C per verdubbeling van CO2 (ik laat methaan maar even buiten beschouwing) is nog behoorlijk fucked up. Het is alsof een dokter tegen je zegt: “Goed nieuws! We hoeven uw arm maar vanaf de elleboog te amputeren in plaats vanaf de schouder!”
Jippie… 😐
LikeLike
Neven, zie figuur 1. De gekleurde lijnen zijn steeds schattingen op basis van een decennium t.o.v. een referentieperiode, in dit geval 1860–1879 en de grijze lijn betreft de data over de gehele periode 1970-2009 t.o.v. de referentieperiode. Ze hebben rekening gehouden met een natuurlijke variatie in de temperatuur, dit komt tot uiting in de onzekerheid.
Ik schrijf hierboven al dat het veel te vroeg is om op grond van deze studie de vlag uit te hangen, de paleoklimatologische data en de klimaatmodellen geven een behoorlijk hogere ECS en de auteurs geven niet meer aan dan dat de kans op een ECS beneden 1.2 °C erg klein is. Daarbij is het de vraag in hoeverre de door Otto-2013 berekende ~2 °C de echte equilibrium climate sensitivity benadert. In het gelekte IPCC AR5 rapport stond voor de ECS nog steeds dezelfde range en meest waarschijnlijke waarde van 3 °C. Daarnaast koersen we met onze emissies boven het RCP8.5 scenario, wat overeenkomt met meer dan twee verdubbelingen van de CO2 concentratie. Zie pagina 7 in: http://www.globalcarbonproject.org/carbonbudget/12/files/CarbonBudget2012.pdf
LikeLike
De lagere inschatting van het koelende effect van aerosolen is de belangrijkste factor dat schattingen op basis van the instrumental period lager uitkomen dan eerdere. Maar de rad forcing van aerosolen is nog steeds zeer onzeker, dus de error bar voor climate sensitivity, zoals uit de recente data gedestilleerd, is evenens zeer wijd.
LikeLike
Waarom valt het “very likely” bolletje in de rode balk niet samen met de piek in de dikke rode lijn?
LikeLike
@Hans Erren
Als je het plaatje van Knutti & Hegerl bedoelt: de ‘dikke rode lijn’ die je daar ziet, bestaat in feite uit meerdere lijnen (meerdere studies). Door de lagere resolutie van het hier gebruikte image is dat niet zichtbaar.
Bekijk het artikel zelf en zoom in op de rode lijntjes van figuur 3 a:
Klik om toegang te krijgen tot knutti08natgeo.pdf
LikeLike
Beste Hans Erren,
Wat Jos al zegt, en die dikke rode lijn voor ‘Instrumental period’ in figuur 3a is niet symmetrisch, de rechterkant van de kansverdeling is hoger dan de linkerzijde.
Daardoor valt het bolletje niet samen met de ‘piek’ in de dikke rode lijn, maar ligt deze ‘most likely value’ iets rechts van de piek.
LikeLike
NevenA: Ook als het warmer wordt wereldwijd, hoeven we echt niet meer ledematen te gaan amputeren hoor.
LikeLike
Beste Wink,
Dat is nog maar de vraag:
http://www.trouw.nl/tr/nl/5948/Dierenwelzijn/article/detail/3449635/2013/05/30/Oververhitte-zeesterren-offeren-vrijwillig-arm-op-om-te-blijven-leven.dhtml
LikeLike
Fijn dat we er weer iemand bij hebben die zo goed kan lezen. Heb je een woordenboek, Wink? Zoek eens het woord ana·lo·gie op.
Heb je verder ook nog iets te melden over het onderwerp van de discussie?
LikeLike
De analogie klopt ook helemaal niet. Gepaster is ‘we amputeren de arm over vijf dagen in plaats van over vier dagen’.
LikeLike
De discussie gaat altijd over hoeveel opwarming. Nooit over wanneer.
Volgens mij veel belangrijker.
LikeLike
Volgens mij is het nog belangrijker dat jij beter leert lezen, Wink.
LikeLike
Ik weet niet of het helemaal on topic is, en of de vraag hier gewaardeerd wordt, maar ik stel hem toch maar:
Is hier iemand die zijn licht kan laten schijnen op dit artikel van de universiteit van Waterloo/Canada:
http://uwaterloo.ca/news/news/global-warming-caused-cfcs-not-carbon-dioxide-study-says
Hierin wordt gesteld dat er een absurd hoge correlatie is tussen cfk’s in de atmosfeer en wereldwijde atmosferische temperatuuranomalie in de onderste atmosfeerlagen (de twee grafieken liggen feitelijk over elkaar heen). Ik heb geen benul hoe degelijk het onderzoek is en of het bijvoorbeeld relevant is voor de temperatuurstijging van de oceanen, die volgens mij belangrijker is dan de opwarming van de lage atmosfeer.
Bedankt alvast!
LikeLike
Lars, vergelijkbaar werk is tot twee keer toe onderuit gehaald (zie vooral de tweede link).
http://www.realclimate.org/index.php/archives/2008/12/ozone-holes-and-cosmic-rays/
http://www.realclimate.org/index.php/archives/2011/07/lu-from-interesting-but-incorrect-to-just-wrong/
(zie de referentie naar de twee rebuttals)
Let ook op het tijdschrift: datzelfde tijdschrift plaatste Gerlich & Tscheuschner’s claim dat het broeikaseffect in tegenspraak is met de 2e wet van de thermodynamica. Als je moet verhuizen naar dat soort tijdschriften…
Het lijkt ook op een “correlatie = causatie” artikel, waarbij ik me nog even afvraag of professor Lu heeft overwogen dat de correlatie misschien omgekeerd is…
LikeLike
Bedankt voor je reactie Marco. Gelijk even gelezen, Blijkbaar is meneer Lu een wetenschapper die niet reageert op kritiek op zijn onderzoek, waarmee zijn onderzoek eigenlijk al bij voorbaat waardeloos is. Het feit dat voorspelling van zijn model niet uitkomen zegt al genoeg.
LikeLike
Zo ver zou ik niet willen gaan, Lars.
Zo lijkt het alsof wetenschappers op basis van één publicatie tot klimaatscepticus bestempeld kunnen worden en vervolgens nooit meer serieus genomen worden.
Het lijkt mij dat de inhoud van een publicatie beoordeeld moet worden en niet de naam die eronder staat.
LikeLike
🙂 ja, dat was idd een beetje kort door de bocht. Wel, lijkt het op basis van de stukken die ik nu gelezen heb zo dat Lu al langer hetzelfde idee pusht zonder terug te komen op kritiek op ouder, gerelateerd werk
.
Zijn CFC grafiek volgt de temperatuur zo goed dat het wel haast lijkt of hij hetzelfde ding meet (alsof het verband tussen donkere wolken en plassen op straat wordt weergegeven, en naar de plassen wordt gewezen als de oorzaak van de wolken)
LikeLike
Lars,
Voor de volledigheid, het artikel van Lu kun je hier vinden:
Klik om toegang te krijgen tot 1210.6844.pdf
De laatste rebuttal van Grooß en Müller kun je hier vinden:
Klik om toegang te krijgen tot Grooss-ElectronReactions.pdf
SkepticalScience heeft ook een artikel over de CFC’s van Lu:
http://www.skepticalscience.com/CFCs-global-warming.htm
Lu is inderdaad al geruime tijd met deze hypotheses bezig, zie de vele referenties in zijn artikel naar zijn eigen werk. Interessante figuur die Lu. In zijn laatste artikel worden niet alleen de gangbare theorieën betreffende de ozonafbraak in de stratosfeer (waar Crutzen zelfs de Nobelprijs voor heeft gekregen) als zijnde incorrect weggezet, maar tevens zowat alle klimaatwetenschappelijke theorieën over broeikasgassen. Volgens Lu zijn het de CFC’s die het hem doen.
En passant worden daarmee trouwens de meeste klimaatsceptische ideeën over de recente temperatuurstijging naar de prullenbak verwezen, zoals: het is de zon, het is natuurlijke variatie of het zijn de GCR’s + wolken van Svensmark.
Na de jaren 1960 is tegelijk met een sterke stijging van de CO2 concentratie tevens de CFC concentratie in de atmosfeer gestegen, zie figuur 3 in dat Grooß en Müller artikel. Duidelijk is dat de CFC concentratie correleert met de oppervlaktetemperatuur over die periode. Correlatie is echter geen causatie.
Om de invloed van CO2 over die periode weg te redeneren, zegt Lu simpelweg dat meer CO2 geen effect meer heeft: “Thus, the absorption of the Earth IR radiation by these non-halogen gases is most likely to have saturated.”.
Dit is nonsens, er bestaat zoiets als het ‘band saturation effect’ (of pressure broadening), naarmate de concentratie van CO2 in de atmosfeer toeneemt zal de absorptieband verbreden. Zie de verklarende grafieken van het boek van David Archer op blz. 35:
Klik om toegang te krijgen tot chapter4.pdf
SkepticalScience heeft er ook een artikel over:
http://www.skepticalscience.com/saturated-co2-effect-advanced.htm
Zoals je eerder al opmerkte, na 2000 is de opwarming van de aarde geenszins gestopt, de warmteinhoud van de oceanen is over 1998-2010 zelfs sneller gestegen dan over 1985-1997:
https://klimaatverandering.wordpress.com/2013/01/27/een-data-update-van-2012/
Met de hypotheses van Lu is dit m.i. niet te verklaren.
En om terug te komen op het topic van deze post, de redenering van Lu volgend is de klimaatgevoeligheid voor CO2 zo ongeveer 0. Ook het artikel van Otto et al kan volgens Lu dus bij het oud papier gelegd worden.
Lu werkt met een klimaatgevoeligheid van 1.8 °K/(W/m2) (zie de tekst onder zijn figuur 12), maar dan alleen voor de CFC’s, de rest van de forceringen zijn 0 en over de afkoelende invloed van aerosolen wordt niet gesproken. Als je die 1.8 om zou rekenen naar een klimaatgevoeligheid voor een verdubbeling van de CO2 concentratie, de forcering daarvan is 3.7 W/m2 (en niet 0), zou je op 6.7 °C uitkomen. Eigenlijk is Lu dus een extreme alarmist.
LikeLike
Beste Hans Verbeek,
“Het lijkt mij dat de inhoud van een publicatie beoordeeld moet worden en niet de naam die eronder staat”
Allebei de blogposts op Realclimate die Marco aanhaalt, gaan juist over de *inhoud* van de publicaties van Qing-Bin Lu. Dat geldt ook voor de terecht kritische opmerkingen van Jos Hagelaars.
Wél is het zo dat het op gaat vallen als prof. Lu niet ingaat op de uitgebreide kritiek in de wetenschappelijke literatuur. Het lijkt er op dat Lu probeert om zijn (ongewijzigde) hypothese gepubliceerd te krijgen in zoveel mogelijk journals die weinig met klimaatwetenschap of met atmosferische fysica van doen hebben – bij die journals zijn de referees minder op de hoogte van ander werk op dit terrein, en zijn daardoor eerder geneigd om het door te laten.
De ‘redenering’ van Lu is extreem inconsistent: als de HFC’s/CFC’s (een zeer sterk broeikasgas, maar slechts aanwezig in concentraties die een miljoenste bedragen van CO2) zoveel effect zouden hebben, dan is het hek totaal van de dam t.a.v. het effect van methaan en kooldioxide. Fysisch gezien werkt de broeikaswerking van de CFC’s namelijk identiek aan CO2 en CH4.
In dit overzicht van het IPCC zijn ook de ‘Halocarbons’ (HFC’s/CFC’s) gewoon meegenomen:
http://www.ipcc.ch/publications_and_data/ar4/wg1/en/figure-ts-5.html
Het gaat daar om het gele balkje: 0.34 W/m^2 t.o.v. pre-industrieel, terwijl bijvoorbeeld kooldioxide 1.66 W/m^2 bijdraagt (in 2007). Het effect van de halocarbons is dus zeker niet te veronachtzamen, maar is slechts een onderdeel van het versterkte broeikasgas-effect.
LikeLike
Wow, Marco, Hans, Jos, Bob, bedankt voor de uitgebreide inhoudelijke behandeling van mijn vraag, ben echt een stuk wijzer geworden en dat had ik niet verwacht! Ik hoef mijn (inmiddels tameljk consitente) wereldbeeld van Peakoil, PeakEconomy, PeakHumanity en Klimaatverandering door het stuk van meneer Lu gelukkig niet aan te passen, en daar was het me om begonnen, hoewel ik wel altijd probeer open te staan voor nieuwe ideeen.
Ik heb er een nieuwe site bij om te gaan volgen!
LikeLike
Beste Lars,
Voor wat betreft ‘Peakoil’: dat gaat nog wel gedeeltelijk op maar het is ook deels achterhaald door de enorme voorraden aan steenkool, (schalie)gas en teerzanden die inmiddels bereikbaar zijn geworden. Met name steenkool, daar kunnen we nog wel honderden jaren mee vooruit.
Verder zijn er immense voorraden aan methaanhydraten in de diepzee en op de continentale platen. Wel worden de *vloeibare* fossiele koolwaterstoffen (petroleum, olie) steeds lastiger te winnen en daarmee duurder. Het in de fik steken van petroleum als brandstof is verkwisting van een schaarse bron die we voor héél andere doeleinden zouden kunnen bewaren: farmaceutica, petrochemie, smeermiddelen en als basis voor verfstoffen en coatings etc.
Het opkrikken van de CO2-concentratie naar 2700 ppmv of hoger is helaas een fluitje van een cent. De andere broeikasgassen en roet dragen ook hun steentje bij. Zo katapulteren we onszelf in een paar honderd jaar terug naar het begin van het Eoceen: een klimaat met toentertijd krokodillen en nijlpaard-achtigen rondom de noordpool. It is going to be a tough ride… en niet alleen voor onze soort.
Lees bijvoorbeeld ook:
https://klimaatverandering.wordpress.com/2012/03/12/oceaanverzuring-een-warme-en-zure-toekomst/
LikeLike
Bob, op mijn blog zal je zien dat we dezelfde visie hebben. Ik volg Peakoil sinds 2004, en ik dacht toen nog dat Peakoil een “synchroon” event zou zijn, maar het is nu duidelijk dat het op verschillende plaatsen op de wereld verschillend toeslaat :
– Peakoil was een financiele ramp in 2008 op de westerse wereld toen winstmarges terugliepen door stijgende olieprijzen en het “groeimodel” onhoudbaar bleek, we zijn nog aan het bijkomen van de klap, en onze politici snappen nog steeds niet wat er nou echt gebeurd is.
– Peakoil is in Saudi, Indonesië en Egypte veel meer een sociaal probleem (ivm wegvallen subsidies) en leidt tot sociale onrust
Inmiddels is idd wel duidelijk dat de olieindustrie niet zomaar zal afstappen van hun megasuccesvolle businessmodel, en wordt alles wat wil branden omgecat tot “brandstof”. (ben zelf fervent antischaliegasblogger)
Zo, en nu ga ik je oceaanverzuringsstuk lezen.
LikeLike
Hallo Bob en Lars,
er zijn ook deskundigen, die menen dat peakoil (en peakgas en peakcoal) grote gevolgen zal hebben voor de menselijke CO2-uitstoot.
Afgelopen week blogde Gail Tverberg hierover op Our Finite World:
Zij denkt dat het opraken van makkelijk winbare fossiele brandstoffen een grote economische recessie zal veroorzaken, waardoor de CO2-uitstoot al voor 2040 sterk zal dalen.
Of dat goed nieuws is, moet je zelf maar uitmaken.
N.a.v. haar verhaal schreef ik een post over de dalende menselijke CO2 op mijn eigen weblog:http://cassandraclub.wordpress.com/2013/05/30/als-olie-en-gas-opraken-daalt-dan-onze-co2-uitstoot/
LikeLike
Wat ik altijd interessant aan Peak Oil heb gevonden (het is een misvatting dat PO gaat over wanneer alle meuk op is), is EROEI. Die wordt namelijk steeds lager, wat de winning van energie onherroepelijk duurder maakt. Daar verandert externalisering van kosten en het smijten met subsidies alleen op de korte termijn wat aan.
Wat ook interessant is, is dat de behoefte aan groei (throughput of resources) betekent dat er ook altijd maar meer energie geproduceerd moet worden. Maar er komt een moment waarop de snelheid waarmee ze de capaciteit verhogen (meer booreilanden, meer schaliegasinstallaties, meer haul trucks) niet meer hoog genoeg is om de vraag bij te benen.
Al deze zaken leiden tot hogere prijzen, en op een gegeven moment recessies omdat de BNP-afgod niet genoeg offers krijgt. Op dat soort momenten besef je dat energie niet een simpele commodity is, maar de absolute levensader van de geïndustrialiseerde samenleving.
En misschien is dat wel heel goed nieuws voor de klimaatgevoeligheid, al is de mens erg ingenieus als het op onhoudbare verslavingen aankomt. Zowel op pragmatisch als psychologisch vlak.
Leuke blog, Lars!
LikeLike
Leuke blog, Lars!
Inderdaad, Lars. Goed bezig.
LikeLike