Gastblog van Jos Hagelaars
De gemiddelde oppervlaktetemperaturen van de aarde, gemeten via ‘thermometers’, worden door een aantal instituten verzameld, de bekendste van deze datasets zijn GISTEMP, HadCRUT en NCDC. Sinds 1979 worden er eveneens temperatuurdata voor de lagere troposfeer vrijgegeven door de University of Alabama in Huntsville (UAH) en Remote Sensing Systems (RSS), die gemeten zijn via satellieten.
De temperaturen van deze twee meetmethodieken vertonen verschillen, zoals bijvoorbeeld: de NCDC data geven een trend boven het landoppervlak van 0.27 °C/decennium voor de periode 1979 t/m 2012, terwijl over dezelfde periode de trend over de satellietdata van UAH een stuk lager is met 0.18 °C/decennium. Dit terwijl de trends over mondiale temperaturen kleinere verschillen vertonen, voor NCDC en UAH resp. 0.15 °C/decennium en 0.14 °C/decennium over dezelfde periode.
Big deal? Bijna alles wat betrekking heeft op het klimaat is een ‘big deal’, dus voor deze trendverschillen is dat niet anders. In een wereld die warmer wordt, zou, ongeacht de oorzaak van de opwarming, de hogere troposfeer namelijk gemiddeld meer op moeten warmen dan het oppervlak en de data op basis van UAH (en RSS) laten dat niet zien.
Waarom zou het hoger in de troposfeer meer op moeten warmen en wat is de oorzaak van deze trendverschillen tussen de oppervlaktetemperaturen en de satelliettemperaturen?
In dit blogstuk ga ik verder in op de oorzaken van de grotere de stijging van de temperatuur hoger in de troposfeer als het oppervlak opwarmt, wat alles van doen heeft met de hoeveelheid waterdamp in lucht. Die trendverschillen tussen de satellietdata – die dus geen betrekking hebben op het oppervlak, maar op de gehele lagere troposfeer – en de oppervlaktetemperaturen, zijn uiteraard onderzocht geweest. Het belangrijkste onderzoek, uitgevoerd door Ben Santer et al in 2005, concludeerde dat op maand- en jaartijdschalen de satellietdata (en radiosonde data) wel degelijk zo’n grotere stijging lieten zien, maar vreemd genoeg niet op decenniumschaal. Algemeen werd toen aangenomen dat de oorzaak daarvan gelegen was in afwijkingen in de satellietdata.
In het tweede deel van het blogstuk komen we de naam Klotzbach tegen, waar de titel hierboven mee begint. Het gaat daarbij over een artikel van Phil Klotzbach et al, verschenen in 2009, wat een alternatieve verklaring aanreikte voor de beschreven trendverschillen: de oorzaak zou gelegen kunnen zijn in afwijkingen in de data van de oppervlaktetemperaturen en niet in de satellietdata.
Klotzbach-2009 concludeerde onder meer dat gedurende de 30 jaar van het satelliettijdperk, de temperatuur aan het oppervlak boven land met maar liefst maximaal 0.15 °C/decennium (voor de NCDC data) sneller was gestegen dan de satelliettemperaturen van Roy Spencer en John Christy (UAH) lieten zien, dus ongeveer 0.45 °C over die 30 jaar. Rond het artikel ontspon zich verder een ware soap betreffende de versterkingsfactor tussen die temperaturen aan het oppervlak en de lagere troposfeer.
Daar er aan het meten van de oppervlaktetemperaturen bar weinig is veranderd, zou je verwachten dat dit absolute temperatuurverschil boven land tussen NCDC en UAH toegenomen zou zijn met het verstrijken van de tijd. Een herhaling van de berekening van Klotzbach-2009 laat echter geheel wat anders zien. Met niet meer dan 4 jaar extra aan meetdata is het maximale absolute temperatuursverschil boven land tussen NCDC en UAH zelfs teruggelopen naar 0.34 °C en het trendverschil is maar liefst 30% lager geworden met maximaal 0.10 °C/decennium.
Het heeft er toch echt alle schijn van dat de oorzaak van die trendverschillen over decennia in de satellietdata gezocht dient te worden.
De temperatuurgradiënt in de troposfeer / de ‘lapse rate’
Hoe hoger in de troposfeer hoe kouder. Dit wordt veroorzaakt doordat opstijgende warme lucht af zal koelen bij toenemende hoogte doordat de druk met de hoogte afneemt, middels zogenaamde adiabatische processen. Deze temperatuurgradiënt wordt in het Engels de ‘lapse rate‘ genoemd, een begrip dat men veelvuldig tegenkomt bij artikelen over de atmosfeer in relatie met het klimaat. Als de lucht droog is, is dit verval circa 10 °C per km. Als de lucht waterdamp bevat, zal bij het afkoelen als gevolg van het opstijgen van de lucht, deze waterdamp hoger in de atmosfeer condenseren tot water en daarbij komt condensatiewarmte vrij. Op deze wijze wordt dus warmte naar grotere hoogten getransporteerd en is het verval in de temperatuur met de hoogte geringer, voor met waterdamp verzadigde lucht is dit circa 6 °C per km.
Als het warmer wordt, kan lucht meer waterdamp bevatten. Dit heeft dan tevens een effect op de lapse rate, immers meer waterdamp betekent meer warmtetransport naar grotere hoogten. Dit effect op de lapse rate wordt de lapse rate feedback genoemd. Meer warmte op grotere hoogten, betekent dat de uitstraling van infrarood licht gemakkelijker wordt, een negatieve feedback. Dit effect speelt vooral in de tropen. Op hogere breedtegraden is de stijging van de temperatuur aan het oppervlak dominant, waardoor de verandering in de lapse rate een positieve feedback wordt. Zie figuur 1 (naar de climate dynamics webpage van de Universiteit van Leuven).
Gemiddeld is de verwachting dat de negatieve lapse rate feedback overheerst, met een waarde van circa -0.8 W/(m²·K) (Soden en Held 2006 of IPCC 2007).
De satelliettemperaturen zijn geen oppervlaktetemperaturen, maar een soort gemiddelde van de gehele lagere troposfeer. Deze temperaturen worden afgeleid uit microgolfstraling van zuurstof per hoogtelaag in de atmosfeer. Zie figuur 2 voor de weegfactoren per hoogtelaag van de RSS temperaturen voor de lagere troposfeer (TLT), deze verschillen voor het land en de oceaan.
Daar men gemiddeld genomen verwacht dat de lapse rate feedback negatief is, dus dat als het warmer wordt er meer warmte naar grotere hoogte getransporteerd wordt, zou tevens de temperatuur hoger in de troposfeer meer moeten toenemen dan aan het oppervlak. Zoals gezegd, dat blijkt niet uit de vergelijking tussen de oppervlakte- en satelliettemperaturen.
Klotzbach 2009
Uiteraard zijn deze verschillen meerdere malen een punt van onderzoek geweest. De bekendste zijn van Santer et al 2005, Karl et al 2006 en een review van Thorne et al 2011.
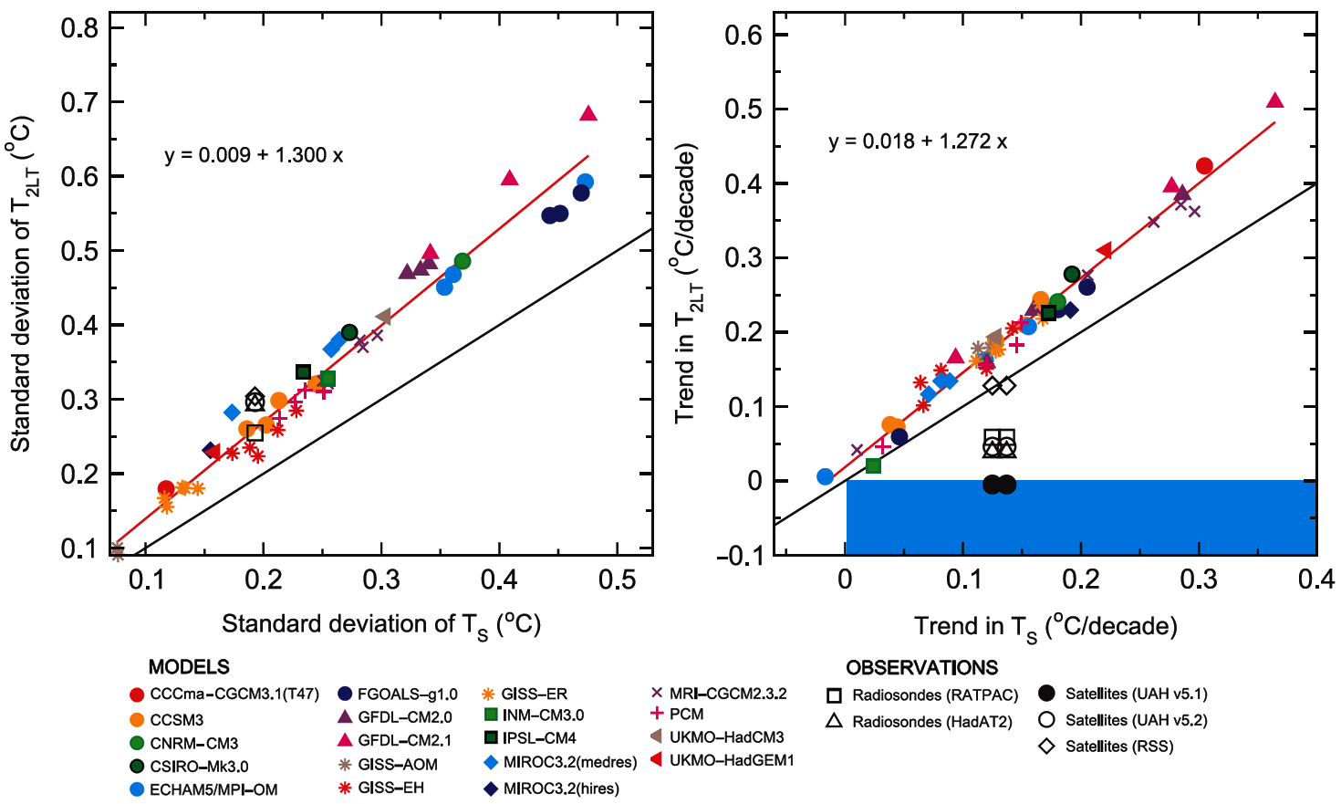
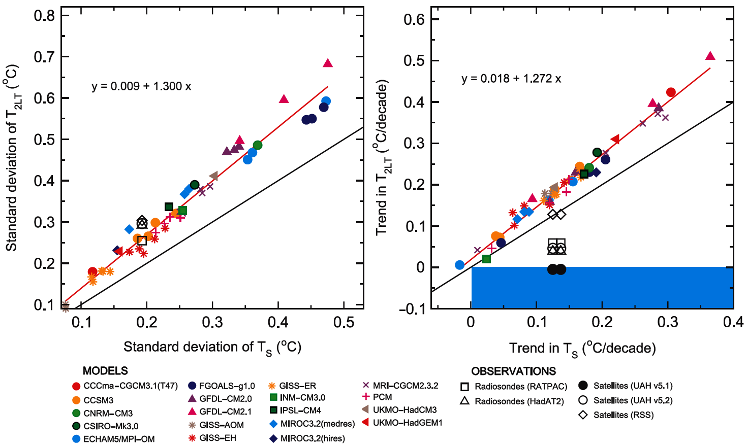
Santer et al kwamen tot de conclusie dat op maand- en jaar-tijdschalen de temperatuurobservaties van de troposfeer in de tropen consistent zijn met de theorie en een grotere opwarming vertonen op een grotere hoogte dan aan het oppervlak. Op decenniumschaal vonden zij echter maar 1 dataset die hier aan voldeed, zie figuur 3 (uit Thorne 2011).

Figuur 3: Het gedrag van tropische temperaturen in observaties en modellen.
De zwarte lijn in de grafieken staat voor een versterkingsfactor van de temperatuur aan het oppervlak (Ts) naar de temperatuur van de gehele lagere troposfeer (2LT) van 1 en de rode lijn van circa 1.3.
De linkergrafiek is een weergave van de maand-op-maand variatie, hier zijn de modellen en de observaties (radiosondes en satellieten) met elkaar in overeenstemming.
De rechtergrafiek is een weergave van de trends op decenniumschaal. Hier geven de modellen opnieuw een versterkingsfactor van circa 1.3, terwijl de observaties (behalve RSS) zelfs een versterkingsfactor kleiner dan 1 laten zien.
Het lijvige rapport van de U.S. Climate Change Science Program (Karl et al) concludeerde:
These results could arise due to errors common to all models; to significant non-climatic influences remaining within some or all of the observational data sets, leading to biased long-term trend estimates; or a combination of these factors. The new evidence in this Report (model-to-model consistency of amplification results, the large uncertainties in observed tropospheric temperature trends, and independent physical evidence supporting substantial tropospheric warming) favors the second explanation.
Een afwijking in de lange termijn trend van de satellietdata (en de radiosonde data) zou dan de meest waarschijnlijke verklaring zijn voor de trendverschillen. Niet onlogisch gezien de moeilijkheden inherent aan de satellietmetingen (zie bijv. de diverse UAH versies), zoals de drift in de baan van de satellieten, de sensoren die slechter worden in de tijd, kalibratieproblemen bij een wisseling van satellieten of temperatuurseffecten in de instrumenten zelf. Vorig jaar nog is er door Po-Chedley & Fu opnieuw een afwijking geconstateerd in de satelliettemperaturen, een van hun conclusies luidt:
“Creating climate-quality satellite temperature datasets is a challenging process that requires constant attention as new biases are discovered.”
In 2009 verscheen een artikel in de Journal of Geophysical Research van Klotzbach, Pielke Jr. en Sr., Christy en McNider, met als titel:
“An alternative explanation for differential temperature trends at the surface and in the lower troposphere”.
Het alternatief is hier de mogelijkheid dat er een afwijking zit in de oppervlaktetemperaturen. Hun algemene conclusie was:
“The differences between trends observed in the surface and lower-tropospheric satellite data sets are statistically significant in most comparisons, with much greater differences over land areas than over ocean areas. These findings strongly suggest that there remain important inconsistencies between surface and satellite records.”
Het artikel van Klotzbach-2009 straalt uit dat die ‘inconsistencies’ veroorzaakt worden door afwijkingen in de oppervlaktetemperaturen, zie de tekst in hun paragraaf 2 genaamd: “Recent Evidence of Biases in the Surface Temperature Record”.
Om de trendverschillen tussen NCDC/HadCRUT3 en de UAH/RSS data in kaart te brengen, heeft men de maanddata van de verschillende sets genomen, deze van elkaar afgetrokken en vervolgens over dit verschil een trend bepaald. Als er geen verschil tussen de datasets zou zijn, zou deze trend 0 moeten zijn. In figuur 4 staan de resultaten uit het Klotzbach-2009 artikel (hun tabel 2).
Het grootste verschil leverde NCDC minus UAH met een trend van +0.15 °C/decennium boven land en mondiaal een trend van +0.04 °C/decennium, waar een negatieve verhouding verwacht zou worden. Dit is precies wat Santer et al concludeerden, op decenniumschaal is het gedrag afwijkend en daar dit niet opgaat voor kortere tijdsschalen, is in Santer’s artikel het volgende te lezen:
“The real conundrum is the complex behavior of the observations”.
In Klotzbach-2009 zijn dezelfde berekeningen tevens uitgevoerd met een versterkingsfactor voor de opwarming op grotere hoogte, waardoor de verschillen nog groter worden. Men gebruikte een gemiddelde versterkingsfactor van 1.2 die Ross McKitrick de heren had doen toekomen, via data afkomstig van een GISS-ER klimaatmodelstudie (gekopieerd van een FTP server). Over deze truc met die versterkingsfactor is veel te doen geweest, zie het RealClimate blogstuk hierover. Gavin Schmidt (verantwoordelijke voor het GISS klimaatmodel) kwam namelijk tot geheel andere conclusies op basis van zijn model, zoals een versterkingsfactor boven land die gemiddeld genomen 0.95 was i.p.v. de 1.2 zoals gehanteerd door Klotzbach-2009. In 2010 is er een correctie verschenen op het oorspronkelijke artikel waar men de berekening overdoet met een versterkingsfactor van 1.1 voor het land en 1.4 voor de oceanen. Vreemd genoeg opnieuw niet de door Schmidt berekende waarde (zie ook deze e-mail wisseling).
In klimaatsceptische stukken wordt wel eens gerefereerd aan Klotzbach-2009, om duidelijk te maken dat er problemen met de metingen van de oppervlaktetemperaturen zijn.
Zo gebruikt Marcel Crok in zijn boek “De staat van het klimaat” die 0.15 °C/decennium uit figuur 4. Zie de bespreking van dit stuk van het boek van Crok op het PCCC klimaatportaal:
“Als er een ‘afwijking’ zit in de oppervlaktemetingen, dan zouden satelliet- en oppervlaktemetingen in de loop der tijd toch uit elkaar moeten gaan lopen? […] inderdaad blijkt dit het geval te zijn. Boven land loopt het verschil tussen de temperatuurmetingen en de satellietmetingen op tot 0,5 graad in de afgelopen dertig jaar. Terwijl klimaatonderzoekers het omgekeerde verwachten.”
Die 0.5 graad is gebaseerd op 3 decennia maal 0.15, is afgerond 0.5 °C, waarbij dus alleen het hoogste getal uit de tabel van Klotzbach-2009 gebruikt is. De twee typen metingen boven land ‘lopen uit elkaar’, wat ook zou moeten volgens Gavin Schmidt, en daarbij wordt er hier vergeten dat er ook een ‘afwijking’ in de satellietmetingen zou kunnen zitten.
Anthony Watts gebruikt eveneens een referentie naar Kloztbach-2009, hij schrijft in zijn 2012 artikel betreffende zijn Surface Stations Project:
By way of comparison, the University of Alabama Huntsville (UAH) Lower Troposphere CONUS trend over this period is 0.25°C/decade and Remote Sensing Systems (RSS) has 0.23°C/decade, the average being 0.24°C/decade. This provides an upper bound for the surface temperature since the upper air is supposed to have larger trends than the surface (e.g. see Klotzbach et al (2011). Therefore, the surface temperatures should display some fraction of that 0.24°C/decade trend. Depending on the amplification factor used, which for some models ranges from 1.1 to 1.4, the surface trend would calculate to be in the range of 0.17 to 0.22, which is close to the 0.155°C/decade trend seen in the compliant Class 1&2 stations.
Hier gebruiken ze de versterkingsfactor 1.1 tot 1.4 (uit het Klotzbach-2010 correctie-artikel), die dus eigenlijk kleiner dan 1 zou moeten zijn. De USA valt tenslotte onder ‘land’ en niet onder ‘oceaan’. Dit soort teksten die niet ondersteund worden door deugdelijk onderzoek zouden m.i. niet gepubliceerd mogen worden.
4 Jaar later in 2013
Inmiddels hebben we 2012 achter de rug en hebben we de beschikking over 4 jaar meer aan data dan in 2009. Aan de oppervlaktetemperatuurdata is weinig veranderd behalve kleine verbeteringen in de homogenisatie en de integratie van meer stations (bijv. HadCRUT4 i.p.v. HadCRUT3), dit heeft voor de mondiale temperaturen niet geleid tot noemenswaardig andere trends. De overgang van GHCN-M (Global Historical Climatology Network-Monthly gebruikt voor o.a. de NCDC temperaturen) van versie 3.1 naar versie 3.2 heeft voor de landtemperaturen zelfs geleid tot een hogere trend, zoals het NCDC schrijft: 0.94 °C/eeuw naar 1.11 °C/eeuw, waarbij de grootste verschillen zitten voor 1970. Daarnaast zijn de oppervlaktetemperaturen boven land van de drie eerder genoemde instituten in 2012 bevestigd door het BEST project van Richard Muller.
Geen veranderingen tot wellicht een zeer lichte stijging in de trends derhalve in de oppervlaktetemperaturen boven land. Als de klimaatsceptische fans van het Klotzbach-2009 artikel gelijk hebben met hun afwijkingen in de oppervlaktetemperaturen, zouden de temperatuursverschillen dus verder opgelopen moeten zijn.
Een ieder met een spreadsheetprogramma en een internet verbinding kan die berekeningen van Klotzbach-2009 overdoen en controleren of dat verwachte temperatuursverschil is opgelopen. Ik dus ook en mijn uitkomsten zijn weergegeven in figuur 5. De onzekerheid is uitgerekend via de methode zoals beschreven in Foster & Rahmstorf 2011.
We hebben 13% meer data en het trendverschil over land tussen NCDC en UAH is met circa 33% teruggelopen van 0.15 naar 0.10 °C/decennium en ook het absolute verschil is niet opgelopen, maar gedaald naar maximaal 0.34 °C over 34 jaar!
Nog altijd is de stijging boven land voor de oppervlakte temperaturen groter dan voor de satelliettemperaturen en als Gavin Schmidt gelijk heeft, ligt dit in de lijn der verwachtingen.
De HadCRUT4 data geven grotere verschillen dan de oude HadCRUT3 data en zijn, zoals verwacht, veel meer in overeenstemming met de NCDC data.
Het sommetje in het boek van Marcel Crok levert nu een verschil op over 3.4 decennia van 0.24-0.34 °C, afgerond 0.3 °C en een stuk lager dan de 0.5 °C die in zijn boek staat.
Conclusie
Het verwachte verdere oplopen van de verschillen boven land tussen de oppervlaktetemperaturen en de satelliettemperaturen heeft niet plaatsgevonden. Met niet meer dan 13% meer data is het trendverschil boven land voor NCDC/UAH maar liefst 33% kleiner geworden en voor NCDC/RSS met 18%.
De ‘bias’ in de oppervlaktetemperaturen waar Kloztbach-2009 meer dan 1700 woorden aan besteed hebben, is afgenomen in plaats van toegenomen en het heeft er alle schijn van dat de oorzaak daarvan in de satelliettemperaturen gezocht moet worden.
Uitspraken over de betrouwbaarheid van satelliettemperaturen van Skeptical Science en Andrew Dessler:
– “The most likely explanation for why the UAH data set shows less warming of the lower atmosphere than expected is that UAH is biased low.”
– “As far as the data go, I don’t really trust the satellite data. While satellites clearly have some advantages over the surface thermometer record, such as better sampling, measuring temperature from a satellite is actually an incredibly difficult problem.”
Wees gewaarschuwd als er in blogstukken/artikelen weer (oneigenlijk) geschermd wordt met versterkingsfactoren tussen de temperaturen op het oppervlak en hoger in de troposfeer en tevens als er vergaande conclusies getrokken worden uit de temperatuurdata gemeten met satellieten.
Voor meer info en dergelijke, zie:
– De Idso’s op CO2Science
– Blog Roger Pielke Jr.: hier, hier en hier
– ClimateAudit
– SkepticalScience: hier en hier
– RealClimate: hier en hier
– Press release Po-Chedly en Fu
– MET Office HadAT2 vs MSU
– Kritieken en besprekingen: hier, hier, hier en hier
– Het IPCC over waterdamp en lapse rate






Hi Jos
heel goed dat je dit een keer in zoveel detail op een rijtje hebt gezet. Ik moet het nog helemaal lezen en zal zeker een reactie geven. Wel zou ik je willen stimuleren om dit stuk te vertalen en ook op de Engelstalige blog van Bart te zetten. Alle betrokkenen die je nu noemt kunnen dan ook meelezen en zo nodig reageren.
Een ding viel me wel meteen op. Bij de discussie over de amplificatiefactor verwijs je niet naar dit blogbericht van McIntyre:
Hier wordt voor zover ik kan nagaan vastgesteld dat de 1,1 van Klotzbach de correcte waarde is en niet de 0,95 van Schmidt.
groet
Marcel
LikeLike
Marcel,
De link naar ClimateAudit staat onder “Voor meer info en dergelijke”.
Ik heb in dit stuk de 0.95 genoemd van zijn oorspronkelijke berekening en die Schmidt ook in een e-mail naar Klotzbach heeft gestuurd (zie de link in het stuk).
Gavin Schmidt heeft daar op ClimateAudit trouwens opnieuw wat versterkingsfactoren gegeven:
“A range of [0.784,1.234]… and a mean (if you think that is sensible) of 0.9708 . Lest anyone think that volcanoes or something are affecting this, the same calculation for 2010-2100 is a range of [0.914,1.097] and a mean of 0.9897.”
Die 0.97 valt binnen zijn de range van zijn getal van 0.95 ± 0.07, wat hij op RealClimate heeft afgegeven.
Je zou ook geen versterking boven land verwachten, daar er boven land minder vocht transport is. Zie de uitspraak van Schmidt in zijn blogstuk:
“However, over land, where there is not very much moist convection, which is not dominated by the tropics and where one expects surface trends to be greater than for the oceans, there was no amplification at all!”
LikeLike
Pingback: Klotzbach revisited, a reply by John Christy « De staat van het klimaat
Pingback: Klotzbach et al revisited, a reply by John Christy | Watts Up With That?
Pingback: Klotzbach Revisited | My view on climate change
Pingback: Response to John Christy’s blog post regarding ‘Klotzbach Revisited’ | My view on climate change